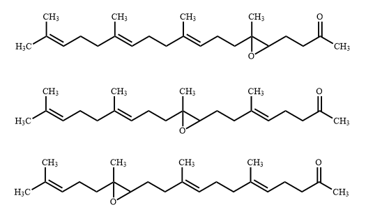
| 产品编号 | PR0017709 | 产品名称 | 替普瑞酮环氧杂质(含1、2、3) |
|---|---|---|---|
| 英文名称 | (5E,9E)-6,10-dimethyl-12-(3-methyl-3-(4-methylpent-3-en-1-yl)oxiran-2-yl)dodeca-5,9-dien-2-one--(E)-8-(3-((E)-4,8-dimethylnona-3,7-dien-1-yl)-3-methyloxiran-2-yl)-6-methyloct-5-en-2-one--4-(3-methyl-3-((3E,7E)-4,8,12-trimethyltrideca-3,7,11-trien-1-yl)oxiran-2-yl)butan-2-one (1/1/1) | 产品简称 | TPRTHYZZ(H123) |
| 分子式 | C23H38O2 | 分子量 | 346.56 |
| 保存条件 | 产品性质 | ||
| CAS No. | 产品分类 | 替普瑞酮系列 | |
| MDL | 产品类型 | ||
| 密度 | μg/μl |







